语言选择: 中文版 line 英文版

防爆离心风机

  • B9-20高压防爆离心风机
B9-20高压防爆离心风机

B9-20高压防爆离心风机

  • B9-20风机
  • B9-20高压风机
  • B9-20高压离心通风机
  • B9-20高压引风机
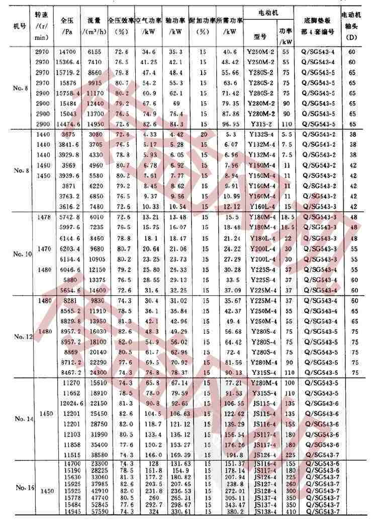
  • 产品描述:本页面为您详细介绍B9-20高压防爆离心风机的性能参数,包括风量、风压、电机功率等,以及具体规格型号,包括B9-26 4A、5A、6A、7A、8D、9D、10D、12D、14D、16D共10个机号
  • 在线订购

B9-20高压防爆离心风机一般用于锻冶炉的强制送风,电机功率从1.5kw至410kw,风压3567-15900帕,风量690-57600立方/小时,共有9个规格,传动方式有电机直联和联轴器传动两种

一、B9-20高压防爆离心风机的适用范围

本风机用于输送,干净空气及输送无腐蚀性,不自燃,不含有粘性物质的气体。输送介质温度不超过50℃,含尘量不超过150mg/m3,一般用于锻冶炉的强制送风

二、B9-20高压防爆离心风机的技术参数

联系我们

CONTACT US

联系人:李经理

手机:13793313126

电话:0533-6820280

邮箱:chuanyi99@126.com

地址: 山东省淄博市周村区南郊镇吴家工业园